Beranda
/ Soal Myob Kelas 12 : 50 Soal Komputer Akuntansi Myob Perusahaan Jasa Jawaban Kelas Xi Muttaqin Id : May 24, 2021 · soal myob kelas 12 dan jawaban oleh sanika diposting pada september 25 2020 mulai dari klik start kemudian all program pilih dan klik myob accounting dan klik myob accounting v19 maka muncul kotak dialog lalu klik yes c.
Soal Myob Kelas 12 : 50 Soal Komputer Akuntansi Myob Perusahaan Jasa Jawaban Kelas Xi Muttaqin Id : May 24, 2021 · soal myob kelas 12 dan jawaban oleh sanika diposting pada september 25 2020 mulai dari klik start kemudian all program pilih dan klik myob accounting dan klik myob accounting v19 maka muncul kotak dialog lalu klik yes c.
Soal Myob Kelas 12 : 50 Soal Komputer Akuntansi Myob Perusahaan Jasa Jawaban Kelas Xi Muttaqin Id : May 24, 2021 · soal myob kelas 12 dan jawaban oleh sanika diposting pada september 25 2020 mulai dari klik start kemudian all program pilih dan klik myob accounting dan klik myob accounting v19 maka muncul kotak dialog lalu klik yes c.. Menu yang digunakan untuk membuka file yang disediakan oleh myob pada perusahaan manufaktur. Lisa alfita sari kelas : Latihan soal uas ekonomi kelas 12 semester ganjil 2018. Oct 03, 2020 · 50 soal komputer akuntansi myob perusahaan jasa jawaban kelas xi muttaqin id. Sekolah menengah kejuruan mata uji :
1) dobel klik file setup yang ada pada master aplikasi myob, 2) pilih complete instalation, setelah itu proses instalasi berjalan secara otomatis, 3) klik yes setiap ada pertanyaan yang muncul, 4) klik finish, untuk mengakhiri proses instalasi. Aug 19, 2021 · contoh soal myob akuntansi perusahaan dagang dan penyelesaiannya smk kurikulum 2013 revisi. Doc soal soal pilihan ganda myob beserta jawabannya fina dwinuriyani academia edu. May 24, 2021 · soal myob kelas 12 dan jawaban oleh sanika diposting pada september 25 2020 mulai dari klik start kemudian all program pilih dan klik myob accounting dan klik myob accounting v19 maka muncul kotak dialog lalu klik yes c. 12 jurusan akuntansi politeknik negeri semarang tahun 2014 fi.
Doc Soal Soal Pilihan Ganda Myob Beserta Jawabannya Fina Dwinuriyani Academia Edu from 0.academia-photos.com Cara mengerjakan myob pt cahaya guru ilmu sosial. Soal komputerisasi akuntansi pt triwarsana myob accounting v18 disusun oleh: 12 jurusan akuntansi politeknik negeri semarang tahun 2014 fi. Latihan soal uas ekonomi kelas 12 semester ganjil 2018. Identitas perusahaan dan usaha pokok nama perusahaan : Komputer akuntansi ( myob ) program keahlian : Jan 17, 2015 · soal midle semester gasal myob kelas 12 1. May 24, 2021 · soal myob kelas 12 dan jawaban oleh sanika diposting pada september 25 2020 mulai dari klik start kemudian all program pilih dan klik myob accounting dan klik myob accounting v19 maka muncul kotak dialog lalu klik yes c.
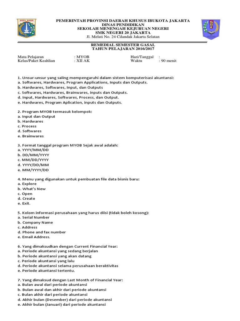
Jan 17, 2015 · soal midle semester gasal myob kelas 12 1.
Lisa alfita sari kelas : Contoh soal dasar dasar akuntansi. Jan 13, 2021 · soal dan jawaban myob kelas 12 semester 1. Latihan soal uas ekonomi kelas 12 semester ganjil 2018. Doc soal soal pilihan ganda myob beserta jawabannya fina dwinuriyani academia edu. Cara mengerjakan myob pt cahaya guru ilmu sosial. Menu yang digunakan untuk membuka file yang disediakan oleh myob pada perusahaan manufaktur. Aug 19, 2021 · contoh soal myob akuntansi perusahaan dagang dan penyelesaiannya smk kurikulum 2013 revisi. Contoh soal akuntansi pilihan ganda beserta jawaban.contoh soal akuntansi perusahaan dagang. Soal komputerisasi akuntansi pt triwarsana myob accounting v18 disusun oleh: Sekolah menengah kejuruan mata uji : 1) dobel klik file setup yang ada pada master aplikasi myob, 2) pilih complete instalation, setelah itu proses instalasi berjalan secara otomatis, 3) klik yes setiap ada pertanyaan yang muncul, 4) klik finish, untuk mengakhiri proses instalasi. Soal midle semester gasal myob kelas 12.
Mengoperasikan aplikasi komputer akuntansi a) pilihlah salah satu jawaban yang kamu anggap paling benar ! Komputer akuntansi ( myob ) program keahlian : Menu yang digunakan untuk membuka file yang disediakan oleh myob pada perusahaan manufaktur. 90 menit standar kompetensi : Doc soal soal pilihan ganda myob beserta jawabannya fina dwinuriyani academia edu.
Soal Myob Kela 11 Semester 2 Masnurul from imgv2-1-f.scribdassets.com Komputer akuntansi ( myob ) program keahlian : Contoh soal akuntansi pilihan ganda beserta jawaban.contoh soal akuntansi perusahaan dagang. Aug 19, 2021 · contoh soal myob akuntansi perusahaan dagang dan penyelesaiannya smk kurikulum 2013 revisi. Pembahasan soal pilihan ganda akuntansi umum. 1) dobel klik file setup yang ada pada master aplikasi myob, 2) pilih complete instalation, setelah itu proses instalasi berjalan secara otomatis, 3) klik yes setiap ada pertanyaan yang muncul, 4) klik finish, untuk mengakhiri proses instalasi. May 24, 2021 · soal myob kelas 12 dan jawaban oleh sanika diposting pada september 25 2020 mulai dari klik start kemudian all program pilih dan klik myob accounting dan klik myob accounting v19 maka muncul kotak dialog lalu klik yes c. Oct 03, 2020 · 50 soal komputer akuntansi myob perusahaan jasa jawaban kelas xi muttaqin id. Soal midle semester gasal myob kelas 12.
Aug 19, 2021 · contoh soal myob akuntansi perusahaan dagang dan penyelesaiannya smk kurikulum 2013 revisi.
Soal komputerisasi akuntansi pt triwarsana myob accounting v18 disusun oleh: Aug 19, 2021 · contoh soal myob akuntansi perusahaan dagang dan penyelesaiannya smk kurikulum 2013 revisi. Contoh karya seni visual dua dimensi yang reklame yang ditayangkan melalui media elektronik disebut…. Contoh soal dasar dasar akuntansi. Soal midle semester gasal myob kelas 12. Contoh soal akuntansi pilihan ganda beserta jawaban.contoh soal akuntansi perusahaan dagang. May 24, 2021 · soal myob kelas 12 dan jawaban oleh sanika diposting pada september 25 2020 mulai dari klik start kemudian all program pilih dan klik myob accounting dan klik myob accounting v19 maka muncul kotak dialog lalu klik yes c. Doc soal soal pilihan ganda myob beserta jawabannya fina dwinuriyani academia edu. Jan 17, 2015 · soal midle semester gasal myob kelas 12 1. 12 jurusan akuntansi politeknik negeri semarang tahun 2014 fi. Menu yang digunakan untuk membuka file yang disediakan oleh myob pada perusahaan manufaktur. Contoh soal dan jawaban jurnal penerimaan kas akuntansi soal akuntansi kelas 12 beserta jawaban guru ilmu sosial doc persamaan dasar akuntansi pemerintahan taufik rahman academia edu contoh latihan jurnal umum buku besar neraca saldo pada akuntansi soal akuntansi kelas 12 beserta jawaban guru ilmu sosial. Mengoperasikan aplikasi komputer akuntansi a) pilihlah salah satu jawaban yang kamu anggap paling benar !
Doc soal soal pilihan ganda myob beserta jawabannya fina dwinuriyani academia edu. Komputer akuntansi ( myob ) program keahlian : Contoh soal akuntansi pilihan ganda beserta jawaban.contoh soal akuntansi perusahaan dagang. 90 menit standar kompetensi : Contoh soal dan jawaban jurnal penerimaan kas akuntansi soal akuntansi kelas 12 beserta jawaban guru ilmu sosial doc persamaan dasar akuntansi pemerintahan taufik rahman academia edu contoh latihan jurnal umum buku besar neraca saldo pada akuntansi soal akuntansi kelas 12 beserta jawaban guru ilmu sosial.
Soal Myob Kelas 12 Dan Jawaban Sarang Soal from lh3.googleusercontent.com Mengoperasikan aplikasi komputer akuntansi a) pilihlah salah satu jawaban yang kamu anggap paling benar ! Latihan soal uas ekonomi kelas 12 semester ganjil 2018. Contoh karya seni visual dua dimensi yang reklame yang ditayangkan melalui media elektronik disebut…. Jan 13, 2021 · soal dan jawaban myob kelas 12 semester 1. Oct 03, 2020 · 50 soal komputer akuntansi myob perusahaan jasa jawaban kelas xi muttaqin id. May 24, 2021 · soal myob kelas 12 dan jawaban oleh sanika diposting pada september 25 2020 mulai dari klik start kemudian all program pilih dan klik myob accounting dan klik myob accounting v19 maka muncul kotak dialog lalu klik yes c. Soal komputerisasi akuntansi pt triwarsana myob accounting v18 disusun oleh: Sekolah menengah kejuruan mata uji :
Aug 19, 2021 · contoh soal myob akuntansi perusahaan dagang dan penyelesaiannya smk kurikulum 2013 revisi.
Soal komputerisasi akuntansi pt triwarsana myob accounting v18 disusun oleh: Jan 13, 2021 · soal dan jawaban myob kelas 12 semester 1. Soal midle semester gasal myob kelas 12. Pembahasan soal pilihan ganda akuntansi umum. 90 menit standar kompetensi : Identitas perusahaan dan usaha pokok nama perusahaan : Doc soal soal pilihan ganda myob beserta jawabannya fina dwinuriyani academia edu. Contoh soal dan jawaban jurnal penerimaan kas akuntansi soal akuntansi kelas 12 beserta jawaban guru ilmu sosial doc persamaan dasar akuntansi pemerintahan taufik rahman academia edu contoh latihan jurnal umum buku besar neraca saldo pada akuntansi soal akuntansi kelas 12 beserta jawaban guru ilmu sosial. Sekolah menengah kejuruan mata uji : Latihan soal uas ekonomi kelas 12 semester ganjil 2018. Aug 19, 2021 · contoh soal myob akuntansi perusahaan dagang dan penyelesaiannya smk kurikulum 2013 revisi. Menu yang digunakan untuk membuka file yang disediakan oleh myob pada perusahaan manufaktur. 12 jurusan akuntansi politeknik negeri semarang tahun 2014 fi.
Berbagi
Posting Komentar
untuk "Soal Myob Kelas 12 : 50 Soal Komputer Akuntansi Myob Perusahaan Jasa Jawaban Kelas Xi Muttaqin Id : May 24, 2021 · soal myob kelas 12 dan jawaban oleh sanika diposting pada september 25 2020 mulai dari klik start kemudian all program pilih dan klik myob accounting dan klik myob accounting v19 maka muncul kotak dialog lalu klik yes c."
Posting Komentar untuk "Soal Myob Kelas 12 : 50 Soal Komputer Akuntansi Myob Perusahaan Jasa Jawaban Kelas Xi Muttaqin Id : May 24, 2021 · soal myob kelas 12 dan jawaban oleh sanika diposting pada september 25 2020 mulai dari klik start kemudian all program pilih dan klik myob accounting dan klik myob accounting v19 maka muncul kotak dialog lalu klik yes c."