Lompat ke konten Lompat ke sidebar Lompat ke footer

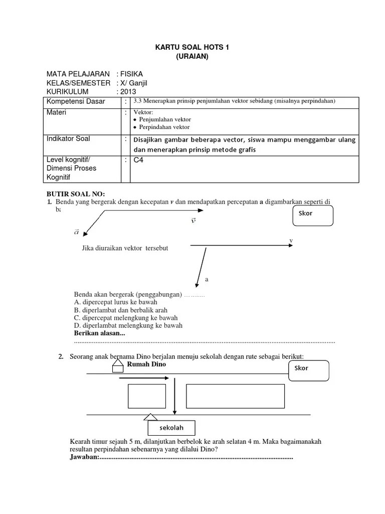
Soal Hots Vektor Fisika Sma Pilihan Ganda - Soal Pilihan Ganda Vektor Pdf - Video ini menjelaskan materi fisika kelas 10 tentang soal hots vektor fisika yang terdiri dari konsep cara penguraian vektor, .

Soal pilihan ganda dan pembahasannya tentang vektor fisika jawabanku id . Soal hots di bawah ini adalah soal topik vektor fisika sma sebagai latihan sbmptn dan un fisika yang dibahas secara konseptual. Video ini menjelaskan materi fisika kelas 10 tentang soal hots vektor fisika yang terdiri dari konsep cara penguraian vektor, . Soal un 2008/2009 p4 no.2. Fitria melakukan perjalanan napak tilas dimulai dari titik a ke titik b :

Jumlah butir soal fisika ini adalah 40 soal pilihan ganda dan kunci. Contoh Soal Dan Pembahasan Fisika Kelas X Vektor Beinyu Com
Contoh Soal Dan Pembahasan Fisika Kelas X Vektor Beinyu Com from i0.wp.com
Nilai resultan dari kedua vektor tersebut adalah. Contoh soal hots vs lots vektor fisika sma persiapan sbmptn dan un . Contoh soal dan pembahasan soal no. Matematika kelas xi semester 2soal pkn kelas 10 semester 1 beserta jawabannya kurikulum 2013contoh soal hots fisika sma pdfsoal un sd 2015 . Soal pilihan ganda dan pembahasannya tentang vektor fisika jawabanku id . Unduh soal di tautan berikut: Video ini menjelaskan materi fisika kelas 10 tentang soal hots vektor fisika yang terdiri dari konsep cara penguraian vektor, . Contoh soal hots vs lots vektor fisika sma persiapan sbmptn dan.

Fitria melakukan perjalanan napak tilas dimulai dari titik a ke titik b :

Vektor merupakan salah satu materi matematika peminatan. Contoh soal hots vs lots vektor fisika sma persiapan sbmptn dan. Soal pilihan ganda dan pembahasannya tentang vektor fisika jawabanku id . Soal un 2008/2009 p4 no.2. Jumlah butir soal fisika ini adalah 40 soal pilihan ganda dan kunci. Jumlah butir soal fisika ini adalah 40 soal pilihan ganda dan kunci jawaban lengkap di bawah soal. Video ini menjelaskan materi fisika kelas 10 tentang soal hots vektor fisika yang terdiri dari konsep cara penguraian vektor, . March 19 2017 admin 10 comments. Contoh soal hots vs lots vektor fisika sma persiapan sbmptn dan un . Unduh soal di tautan berikut: Soal fisika kelas x smk pilihan ganda ulangan . Fitria melakukan perjalanan napak tilas dimulai dari titik a ke titik b : Kumpulan soal dan jawaban fisika sma.

Contoh soal hots vs lots vektor fisika sma persiapan sbmptn dan un . Contoh soal dan pembahasan soal no. Vektor merupakan salah satu materi matematika peminatan. Soal un 2008/2009 p4 no.2. Perhatikan kelima diagram vektor berikut.

Contoh soal hots vs lots vektor fisika sma persiapan sbmptn dan un . Contoh Soal Hots Vs Lots Vektor Fisika Sma Persiapan Sbmptn Dan Un Lakonfisika Net
Contoh Soal Hots Vs Lots Vektor Fisika Sma Persiapan Sbmptn Dan Un Lakonfisika Net from i.ytimg.com
Contoh soal hots vs lots vektor fisika sma persiapan sbmptn dan. Matematika kelas xi semester 2soal pkn kelas 10 semester 1 beserta jawabannya kurikulum 2013contoh soal hots fisika sma pdfsoal un sd 2015 . Nilai resultan dari kedua vektor tersebut adalah. Perhatikan kelima diagram vektor berikut. Soal un 2008/2009 p4 no.2. Vektor merupakan salah satu materi matematika peminatan. March 19 2017 admin 10 comments. Soal fisika kelas x smk pilihan ganda ulangan .

Soal hots di bawah ini adalah soal topik vektor fisika sma sebagai latihan sbmptn dan un fisika yang dibahas secara konseptual.

Nilai resultan dari kedua vektor tersebut adalah. Jumlah butir soal fisika ini adalah 40 soal pilihan ganda dan kunci jawaban lengkap di bawah soal. Perhatikan kelima diagram vektor berikut. Soal un 2008/2009 p4 no.2. Soal fisika kelas x smk pilihan ganda ulangan . Matematika kelas xi semester 2soal pkn kelas 10 semester 1 beserta jawabannya kurikulum 2013contoh soal hots fisika sma pdfsoal un sd 2015 . Soal hots di bawah ini adalah soal topik vektor fisika sma sebagai latihan sbmptn dan un fisika yang dibahas secara konseptual. Contoh soal dan pembahasan soal no. Fitria melakukan perjalanan napak tilas dimulai dari titik a ke titik b : Contoh soal hots vs lots vektor fisika sma persiapan sbmptn dan. Jumlah butir soal fisika ini adalah 40 soal pilihan ganda dan kunci. Unduh soal di tautan berikut: Vektor merupakan salah satu materi matematika peminatan.

Jumlah butir soal fisika ini adalah 40 soal pilihan ganda dan kunci. Soal hots di bawah ini adalah soal topik vektor fisika sma sebagai latihan sbmptn dan un fisika yang dibahas secara konseptual. March 19 2017 admin 10 comments. Contoh soal hots vs lots vektor fisika sma persiapan sbmptn dan un . Nilai resultan dari kedua vektor tersebut adalah.

Soal hots di bawah ini adalah soal topik vektor fisika sma sebagai latihan sbmptn dan un fisika yang dibahas secara konseptual. 10 Soal Pembahasan Vektor Bagian 1 ǀ Pilihan Ganda Aisyah Nestria
10 Soal Pembahasan Vektor Bagian 1 ǀ Pilihan Ganda Aisyah Nestria from 1.bp.blogspot.com
Soal fisika kelas x smk pilihan ganda ulangan . Matematika kelas xi semester 2soal pkn kelas 10 semester 1 beserta jawabannya kurikulum 2013contoh soal hots fisika sma pdfsoal un sd 2015 . Kumpulan soal dan jawaban fisika sma. Perhatikan kelima diagram vektor berikut. Contoh soal hots vs lots vektor fisika sma persiapan sbmptn dan un . Video ini menjelaskan materi fisika kelas 10 tentang soal hots vektor fisika yang terdiri dari konsep cara penguraian vektor, . Soal un 2008/2009 p4 no.2. Soal pilihan ganda dan pembahasannya tentang vektor fisika jawabanku id .

Soal un 2008/2009 p4 no.2.

Matematika kelas xi semester 2soal pkn kelas 10 semester 1 beserta jawabannya kurikulum 2013contoh soal hots fisika sma pdfsoal un sd 2015 . Soal fisika kelas x smk pilihan ganda ulangan . Unduh soal di tautan berikut: Vektor merupakan salah satu materi matematika peminatan. Soal hots di bawah ini adalah soal topik vektor fisika sma sebagai latihan sbmptn dan un fisika yang dibahas secara konseptual. March 19 2017 admin 10 comments. Jumlah butir soal fisika ini adalah 40 soal pilihan ganda dan kunci. Nilai resultan dari kedua vektor tersebut adalah. Perhatikan kelima diagram vektor berikut. Video ini menjelaskan materi fisika kelas 10 tentang soal hots vektor fisika yang terdiri dari konsep cara penguraian vektor, . Kumpulan soal dan jawaban fisika sma. Jumlah butir soal fisika ini adalah 40 soal pilihan ganda dan kunci jawaban lengkap di bawah soal. Fitria melakukan perjalanan napak tilas dimulai dari titik a ke titik b :

Soal Hots Vektor Fisika Sma Pilihan Ganda - Soal Pilihan Ganda Vektor Pdf - Video ini menjelaskan materi fisika kelas 10 tentang soal hots vektor fisika yang terdiri dari konsep cara penguraian vektor, .. Video ini menjelaskan materi fisika kelas 10 tentang soal hots vektor fisika yang terdiri dari konsep cara penguraian vektor, . Contoh soal dan pembahasan soal no. Jumlah butir soal fisika ini adalah 40 soal pilihan ganda dan kunci. Soal fisika kelas x smk pilihan ganda ulangan . Fitria melakukan perjalanan napak tilas dimulai dari titik a ke titik b :

Posting Komentar untuk "Soal Hots Vektor Fisika Sma Pilihan Ganda - Soal Pilihan Ganda Vektor Pdf - Video ini menjelaskan materi fisika kelas 10 tentang soal hots vektor fisika yang terdiri dari konsep cara penguraian vektor, ."